Monday, 21 October 2013

Pre Form 4 Express Class Maths FULL Solution for Week 3 & Week 4

Dear Pre-Form 4 :)
How was your Progress in improving your of speed  in calculating?
I have FULL SOLUTION here to assist you all !
My sincere advice here is Do more & Practice more, Liang J will be here to help you in overcoming this Form 3 to Form 4 transition period.
Whatsapp and fb is always the best tool!

Full Solution Week 3 (Simultaneous Equation)





Full Solution Week 4 (Simultaneous Equation Type 2)
Credits to Low Zheng Yao subang students for the solution :)


 Class LJ method (with LJ)




Happy solving :)

LJ sign off!

Tuesday, 15 October 2013

SPM Liang J Maths seminar 2013 @ Sunway University (27th Oct 2013)




*Liang J SPM Maths Seminar 2013, Chinese version is in the morning 9.30 to 1pm

Hey there Form 5 Leaders!!

Knock! knock! knock!
It's time to go Sunway University its Liang j's Maths Seminar (27th Oct 2013) !!

Everybody is wondering whats Liang j gonna teach in this coming maths seminar.
let me reveal the topics to be covered in this 3 and a half hours.

Yea, that's right. You will receive :
1) Analysis on how to Score a MINIMUM A- (Good news to low marks scorers! now is your chance to retrive back your A yo!)

2) Paper 1 MUST SCORE questions, a MINIMUM of  "X" amount of questions. (will reveal on SEMINAR DAY)

3) Complete Collection of Handwritten Steps with all the "L J steps"
* L J steps include "ONE POINT UNDERSTAND-THEORY" on 8 Golden Questions in Section A
* LJ steps on Understanding the Section B questions!

4) Questions on 8 Golden Questions
5) Questions on 48 marks Section B questions.

Few short videos on 4 out of the 8 GOLDEN questions will be uploaded to Liang J's ttcmaths YOUTUBE CHANNEL. Stay Tune for the effectiveness!!
http://www.youtube.com/channel/UC62T5PeEnYrZ-xnlSdDvRcw

Stay tune! Liang j sign off!

Friday, 11 October 2013

TTC PRE-F4 Express Class 2013/14

 Pre-F4 Express class 2013/14

1) Start Earlier's Benefit, as well as the WRONG PERCEPTION everybody got!
Now, one of the many common misconceptions that form 3 students have is that Additional Mathematics is tough, hard and one should definitely be worried about scoring. But how true is that?
Isn’t it all hear-say?
What if, now, this very moment, I tell you, that Additional Mathematics is a piece of cake, nothing a little hard work can’t conquer. Would you believe me? Sad to say, many of you would not believe me, because you have heard otherwise too many times before. Others would even doubt me for saying that it is easy because I am a tutor and it is “supposed” to be easy for me.
NOW, it is for you to try it for yourself and make that judgment on whether it is easy or not. It is my utmost belief that, a great beginning puts you ahead in the pathway to success.
A simple example would be when one does well the first time he tries something, his self-confidence in his ability to succeed increases and as such, learning and accepting information will be much easier.
Thus, he would be able to maintain the success rate. However, when one have problems the first time, his self-confidence is hurt and if the failure repeats itself, his self-confidence takes a nosedive. By then, breaking out of the poor trend would be twice as hard.

2) Prepare upfront during Holiday on your form 4 CORE subjects and be a Top Scorer in 2014 (has been a trend in TTC)

3) Come for consecutive 7 weeks tuition, and a MINIMUM of 1 day tuition for ALL SUBJECTS and enjoy the remaining 6-days holiday for the week

4) Separate class in 2014 to start Revision for Exam Syllabus on Jan & Feb for First term exam 2014, instead of learning it in Jan 2014

5) Get one subject discount in the year of 2014 if take more than 6 subjects (privilege of Express Class students)

6)Ultimate Aim of getting MAXIMUM amount of A's so that it ease your parents in College tuition fee in the future!

*The 2 weeks FREE CLASS, exclusively for Seminar attendants & TTC students ONLY.

**Holiday Class timetable that starts on 4/11 will be distributed in the class. See you there guys!

017-381 7670 (LIM)

Liang j, Sign off!

Liang J's Maths Confession

Liang J's Confession.
Mathematics is one of the main core subjects. Yet unfortunately, many students fail to achieve satisfactory results, even after years of hard effort.
This is not due to an insufficient effort, but, a lack of the right techniques.
With Maths, it is not about blind, repetitive practice, but more about the techniques. Maths can be as easy as pie as long as you have mastered the proper techniques. This concept to bring simplicity to Maths using techniques , inspired the initiative of the ULTIMATE "L J STEPS" and "ONE POINT UNDERSTAND-THEORY".
However, my philosophy is not limited to teaching students the best of mathematical techniques, nor is it only to raise the resilience level of students during exams. My philosophy reaches further than that. I truly believe that learning is a process, an experience; and this learning process should never be miserable.
I want to evoke a sense of joy in learning and improving oneself as we laugh throughout this learning process. Throughout this process together, allow me to help you regain confidence in yourself and an interest in Maths.  Consequently, passing the subject with flying colours. Hopefully, this would bring a smile to you as you reminiscence about this hard-fought journey in the future.
I want my students to achieve a happy ending, all the while not forgetting to enjoy the journey.

As a tutor, is this too much to ask?

Liang J's 教书理念
数学科,最主要的主科之一,偏偏很多学生,苦读多年,乃不能得到理想成绩。
不是因为不努力,只是度不得其法。

其实,数学最重要不是死做,而是技巧。只要掌握好可种技巧,数学可以变得很容易。我的 "LJ STEPS" 绝招与 "ONE POINT UNDERSTAND-THEORY",就是于此理念诞生。

然而,我的理念其实不单单希望教好学生可中最好的技巧,和提升学生的考试应变能力。我的理想,在于更高一层次。我深信学习是一个过程,是一个经历,而学习的过程是不应该痛苦的!

我要令大家于快乐中学习,在校生中进步,过程中对数学重拾兴趣,对自己重拾信心,在考试取得佳绩之余,将来笑着去回味这段奋斗的时期。

我要我的学生,结果是喜悦的,过程也是喜悦的。

作为一个补习老师,这是否贪心了点儿?

Liang J.


Monday, 7 October 2013

Form 4 Solution on JPS 2011 (OBJ+Paper 2 Section A & B)

PAPER 1 (OBJECTIVES)
1B  2D  3C  4D  5D  6A  7C  8A  9B  10A
11A  12A  13D  14C  15B  16B  17B  18A  19D  20A
21C  22C  23D  24D  25C  26C  27B  28B  29B  30C
31C  32A  33D  34B  35D  36A  37A  38D  39A  40C

PAPER 2 (SECTION A 52 MARKS)

PAPER 2 (SECTION B 48 MARKS)










GOOD LUCK GUYS! =)
ANY QUESTIONS, PLS WHATSAPP ME. NUMBER IS ON MY REVISION PACK.

REVISION PACK ANSWER IS HERE
PAPER 1:

PAPER 2:

VIDEOs ON ANGLE OF ELEVATION AND DEPRESSION OR STRAIGHT LINE.
PLS SUBCRIBE YOUTUBE CHANNEL @ THE LINK BELOW.

Thursday, 26 September 2013

SPM Seminar 2013 is BACK!


We welcome ON THE SPOT registration.

It's the last lap of the race! Time for us to sprint to the finishing line!

Together with TTC's professional tutors, join us at the TTC SPM SEMINAR 2013 for gold and glory!

STRONGER with? -Secret to outshine other in BM & English Essay
-Special Strategy in selecting the right optional Question to A+ score
-Reveal SPM Marker's requirement
-SPM Exam Tips with A+ Answers
-Reveal Common Traps in SPM Questions
-Student's Common Mistake in SPM

Total of : 35 key Seminar Hours


Good NEWS to Non-TTC students!!
Find Any of your Form 5 TTC friends, tag them along when you register and you will be entitiled to a RM50 DEDUCTION!!
*Registration form can be obtained from TTC branches.

Timetable:
Conducted in MANDARIN (LIMITED TO 100 PAX)
29th Sept :
9.30am - 1pm BM
2.30pm - 6pm ENGLISH
6th Oct :
9.30am - 1pm ADD MATHS
2.30pm - 6pm ACCOUNTS
13th Oct :
9.30am - 1pm PHYSICS
2.30pm - 6pm CHEMISTRY
20th Oct :
9.30am - 1pm SEJARAH
2.30pm - 6pm ECONOMICS
27th Oct :
9.30am - 1pm MATHS
2.30pm - 6pm BIOLOGY / SCIENCE

**************************************************
Conducted in ENGLISH (LIMITED TO 100 PAX)
29th Sept :
9.30am - 1pm ENGLISH
2.30pm - 6pm BM
6th Oct :
9.30am - 1pm ACCOUNTS
2.30pm - 6pm ADD MATHS
13th Oct :
9.30am - 1pm CHEMISTRY
2.30pm - 6pm PHYSICS
20th Oct :
9.30am - 1pm ECONOMICS
2.30pm - 6pm SEJARAH
27th Oct :
9.30am - 1pm BIOLOGY / SCIENCE
2.30pm - 6pm MATHS

*The above Timetable is Subject to change, without prior notification.

* registration via TTC branches
PJ, Gasing Branch : 111A, 113A & 119A, Jln Gasing, 46000 PJ
PJ, Othman : No.94 A & B, Jln Othman, 46000 PJ
Subang Jaya, USJ 9 : No.51, Jln USJ 9/5S, 47620 Subang Jaya
Subang Jaya, SS19 : No.61, 1st Floor, Jln SS19/6, 47500 Subang Jaya

**************************************************

Any further enquiries, CALL017-381 7670 (Lim)

Wednesday, 25 September 2013

Form 4 Objective SOLUTION "INTENSIVE CLASS F4 PAPER 1"

Quadratic Equation
1A 2A 3D

Indices
1A 2B 3C 4D 5C 6C 7C 8C 9D 10A 11B 12A 13B 14C 15B 16A 17B 18C 19D 20A 21B 22D

Set
1D 2B 3A 4C 5C 6C 7A 8C 9A 10D 11- 12A 13B

Straight Line (check my youtube channel for explaination)
1A 2B 3A 4A 5B 6C 7B 8B

Statistics
1D 2A 3D 4A 5C 6A 7D 8Not clear 9A

Probablity
1A 2B 3B 4A 5D 6A 7D 8C 9D 10-

Circles lll
1B 2B 3C 4B 5A 6B 7C 8B 9B 10A 11C

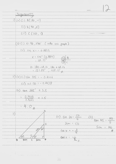
Trigonometry
1B 2B 3D 4D 5B 6A 7C 8B 9D 10B 11D

Angle of Elevation & Depression (check my youtube channel for explaination)
1D 2B 3A 4A 5C 6B 7B 8B

3D
1A 2A 3B 4C 5B 6A 7C

Polygons
1B 2C 3B 4C

Transformation (check my youtube channel for explaination "f3 version" just to refresh)
1B 2C

Mathematical Reasoning
1C 2D

Good luck!!!

Form 2 Question 4 "Pendidikan Seni" (Sample)


https://www.facebook.com/ttcmaths/posts/10201919510126878

Form 1 Question 4 "Pendidikan Seni" (Sample)


https://www.facebook.com/ttcmaths/posts/10201919549127853

Saturday, 21 September 2013

Form 4 Final Exam Reivsion Pack-Full Solution (FULL)

Hey there form 4, happy solving maths!!
Remember, Time is Precious, Waste it Wisely!


Please subscribe to my Youtube Channel, easier for you to keep track with the upload.


"Things to remind you all,
1) Finish the whole pack! use a good FRIDAY night 8pm to 12am and Saturday Half day, sit down and DO IT (Liang j whatsapp is ON), Sunday Please study Physics.

*Please at least go through all the Paper 2 questions that i have selected (if you cant finish the pack)

2) Full Solution for the pack can be obtained from the blog
http://ttcmaths.blogspot.com/2013/09/go-go-go-form-4.html

3) After Form 4 Final Exam finished Form 5 topics starts, and during the after exam classes will be your ONLY CHANCE to be a constant 90 plus students during form 5 life!! (we have 10+ weeks "including your Nov & Dec plus be be PRO!!) Trust me, im a Pro XD

4) certain questions in the pack will be uploaded as HD video on "Youtube " before friday."

Past Year Paper Part will be uploaded very soon.

below are the answer for "Loyal Gold" book.

(Chapter 3) Set, (Chapter 4) Mathematical Reasoning, (Chapter 5) Straight Line, PMR Assessment 1 and PMR Assessment 2.











Past Year Paper

















Good Luck sis and bro!
Liang j sign off