Step to Solve Intersection
refer Pic =)
Friday, 29 March 2013
Feb Week 4 Form 5 : Variation "One Class Settled"
Step of solving
1. Form Variation (direct/inverse/joint)
2. Form Equation "put k", solving it using Perfect
3. Rewrite & Solve Again using Imprefect
Friday, 22 March 2013
Feb Week 3 Form 3 : Indices "Basics" Normal Question
Indices we use 3 steps to solve
as you can see in the picture, i use 3 circles to indicate the step
*please ignore rule number 8 when u are doing Subjective (as it confuse you in solving your indices), use rule 9 (Big--> small, Small --> Big)
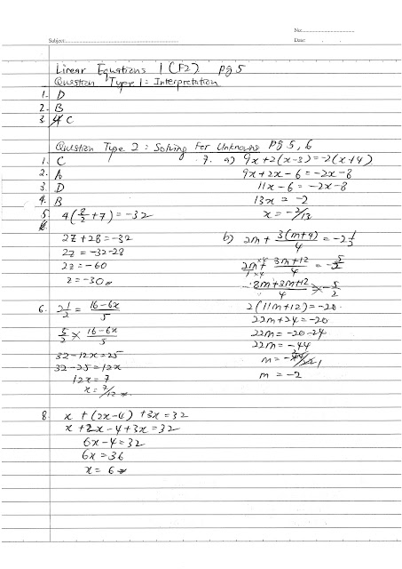
Feb week 3 Form 2: Linear Equation " linear Equation Concept" Basic Question
Linear Equation Concept
l. when you bring it over,
+ = -
- = +
x = ÷
÷ = x
l. when you bring it over,
+ = -
- = +
x = ÷
÷ = x
2. Single Fraction
Method l: bring over ÷ and make it ×!
it's a must !
Method l: bring over ÷ and make it ×!
it's a must !
Tuesday, 12 March 2013
Concept / Idea on "Arc & Sector" (For Form 4 and 5)
Concept / Idea on "Arc & Sector"
Get the Concept right and try question in the following link again =)
Question 1 and 2 in :
have fun =)
Liang J
Wednesday, 6 March 2013
Solution of Maths Form 3 Seminar (Answer) W1, w2
Solution of Maths Form 3 Seminar.
images are in jpg.
p/s: pages indicated below the images are the pages of the answer not the seminar notes. =)
PART ONE's (week 1 - 24th Feb 2013)
credits to Joshua, Jia Hern & Kee Zher for the contribution on this full solution.
-Liang J
PART ONE's (week 1 - 24th Feb 2013)
page 1
page 2
page 3
page 4
page 5
page 6
page 7
page 8
page 9
page 10
PART TWO's (week 2 - 2nd March 2013)
page 1
page 2
page 3
page 4
page 5
page 6
page 7
credits to Joshua, Jia Hern & Kee Zher for the contribution on this full solution.
-Liang J
Subscribe to:
Comments (Atom)







